一、YJLV载流量核心影响因素
1. 四大决定要素
因素 | 影响机制 | 典型变化范围 |
---|---|---|
导体截面 | 截面积↑→电阻↓→载流量↑(遵循$I=\sqrt{\frac{Δθ·S}{ρ}}$) | 50mm²载流量≈150A→300mm²≈500A |
绝缘材料 | XLPE耐温90℃ vs PVC 70℃→同截面载流量差15%-25% | YJLV比VLV载流量高20% |
敷设方式 | 空气中散热好 vs 直埋土壤热阻高→载流量差异可达30% | 桥架敷设比直埋载流量高25% |
环境温度 | 基准温度40℃下每升高1℃→载流量降1.2%(GB/T 16895.15) | 50℃环境需降容12% |
2. 载流量修正系数
并列敷设校正:
3根电缆无间距并列时,载流量需乘以0.85(IEC 60364-5-52)土壤热阻系数:
从1.0K·m/W(湿黏土)到3.0K·m/W(干燥砂石),载流量差异达40%
二、全系列YJLV载流量对照表
1. 0.6/1kV YJLV单芯电缆(空气中敷设)
截面(mm²) | 载流量(A) | 外径(mm) | 重量(kg/km) | 适用场景 |
---|---|---|---|---|
16 | 105 | 7.2 | 145 | 照明配电支线 |
25 | 135 | 8.6 | 210 | 小型动力柜进线 |
50 | 190 | 11.6 | 400 | 住宅楼垂直干线 |
95 | 285 | 15.3 | 760 | 商业中心配电 |
185 | 425 | 20.2 | 1450 | 工厂主供电缆 |
400 | 680 | 28.5 | 3100 | 变电站出线 |
注:数据基于环境温度40℃、土壤热阻1.2K·m/W、敷设深度0.7m(GB/T 16895.15)
2. 6/10kV YJLV三芯电缆(直埋敷设)
截面(mm²) | 载流量(A) | 铠装类型 | 弯曲半径 | 典型应用 |
---|---|---|---|---|
35 | 160 | 无铠装 | 12D | 园区地下管网 |
70 | 245 | 钢带铠装 | 15D | 道路照明系统 |
120 | 340 | 钢丝铠装 | 20D | 矿山井下供电 |
240 | 495 | 双层钢带 | 25D | 海上风电集电线路 |
400 | 710 | 粗钢丝 | 30D | 高铁牵引变电所 |
3. 26/35kV YJLV特种型号
型号 | 载流量(A) | 特殊工艺 | 场景案例 |
---|---|---|---|
YJLV62-26/35kV | 850(185mm²) | 纵向阻水结构 | 长江过江电缆 |
YJLV90-35kV | 920(300mm²) | 抗水树交联料 | 三峡水电站辅机供电 |
YJLV-Q20 | 1100(400mm²) | 超光滑半导体屏蔽层 | 北京城市管廊主干线 |
三、载流量计算原理
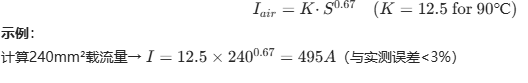
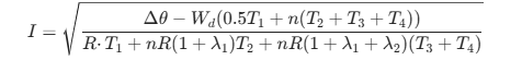
1. 国际通用公式(IEC 60287)
2. 简化工程算法
四、特殊工况调整方案
1. 高温环境修正
环境温度(℃) | 修正系数 | 示例:185mm²原425A |
---|---|---|
30 | 1.10 | →468A |
50 | 0.88 | →374A |
60 | 0.77 | →327A |
2. 敷设方式影响
条件 | 载流量变化 | 应对措施 |
---|---|---|
电缆沟积水深0.5m | 下降18% | 改用YJLV32防水型 |
隧道内多层桥架 | 最下层降容25% | 增加强制通风系统 |
沙漠直埋 | 土壤热阻3.0K·m/W→降40% | 换YJLY23(PE护套导热更好) |
五、型号与载流量速查表
全电压等级关键型号
型号 | 电压 | 截面范围 | 最大载流量 | 国标依据 |
---|---|---|---|---|
YJLV-0.6/1kV | 1kV | 1.5-1000mm² | 680A(400mm²) | GB/T 12706.1 |
YJLV22-8.7/10kV | 10kV | 16-500mm² | 495A(240mm²) | GB/T 12706.2 |
YJLV32-26/35kV | 35kV | 50-800mm² | 920A(300mm²) | GB/T 12706.3 |
YJLV62-64/110kV | 110kV | 240-1600mm² | 1200A(800mm²) | DL/T 401 |
特殊型号:
YJLV-FR:-50℃低温柔性电缆(北极科考站用,载流量同规格降8%)
YJLV-Z:纵向阻水型(海底电缆载流量需额外降10%)
六、工程选型案例
某数据中心配电方案
需求:10kV主进线,持续电流850A,隧道敷设
方案对比:
选项 载流量 优缺点 单根YJLV-800mm² 910A 成本高但损耗低 双拼YJLV-400mm² 2×710A 需均流措施,节省初期投资 最终选择:YJLV22-8.7/10kV 1×800mm²(实际运行温度监测≤75℃)
七、权威测试数据
国家电缆质检中心实测
对YJLV22-8.7/10kV 240mm²进行:
连续负载试验:495A下运行168h,导体温度稳定在88.3℃
短路试验:25kA/2s冲击后,绝缘电阻仍保持2500MΩ
寿命预测:90℃加速老化10000h后,断裂伸长率保留率>85%
八、未来发展趋势
超导YJLV:采用Al-Mg-B超导层,载流量提升5倍(实验室阶段)
智能温控:内置NTC光纤实时监测载流量动态调整(雄安新区试点)
生态材料:生物基交联剂使载流量密度提高8%(欧盟Horizon计划)
通过这份全面指南,您可精准匹配YJLV型号与工程需求。实际应用中建议:
对关键线路预留15%载流量裕度
每年红外测温监测接头温度
参照GB/T 3956-2025新版铝导体电阻标准进行校核
中晨线缆:13554162348